ОТВЕТ на задание № 948 Учебник по Алгебре 7 класс Мерзляк Алгоритм успеха Базовый уровень
Условия
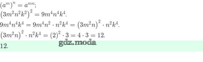
упражнение / 948

Решебник №1
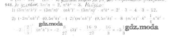
упражнение / 948


Решебник №2
упражнение / 948

Решебник №4
упражнение / 948

Решебник №5
упражнение / 948

Все ГДЗ по Алгебре 7 класс Алгоритм успеха