ОТВЕТ на задание № 963 Учебник по Алгебре 7 класс Мерзляк Алгоритм успеха Базовый уровень
Условия
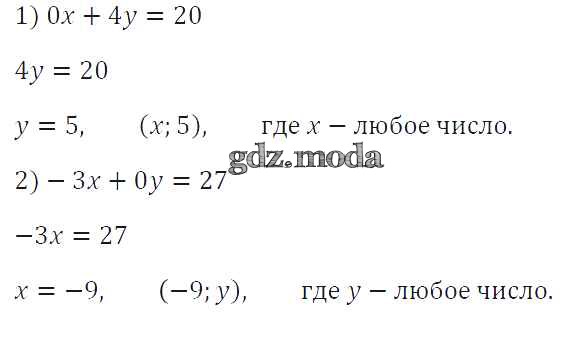
упражнение / 963

Решебник №1
упражнение / 963

Решебник №2
упражнение / 963

Решебник №3
упражнение / 963

Решебник №4
упражнение / 963

Решебник №5
упражнение / 963

Все ГДЗ по Алгебре 7 класс Алгоритм успеха