ОТВЕТ на задание № 983 Учебник по Алгебре 7 класс Мерзляк Алгоритм успеха Базовый уровень
Условия
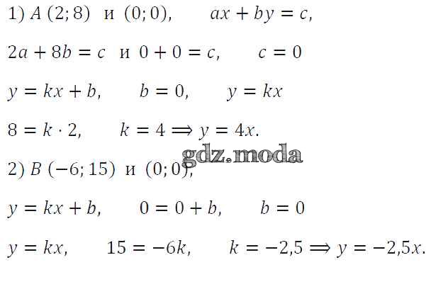
упражнение / 983

Решебник №1
упражнение / 983


Решебник №2
упражнение / 983

Решебник №3
упражнение / 983

Решебник №4
упражнение / 983

Решебник №5
упражнение / 983

Все ГДЗ по Алгебре 7 класс Алгоритм успеха