ОТВЕТ на задание № 8 Учебник по Алгебре 7 класс Мерзляк Алгоритм успеха Базовый уровень
Решебник №1
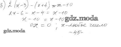
проверь себя / 1 / 8

Решебник №2
проверь себя / 1 / 8

Решебник №4
проверь себя / 1 / 8


Все ГДЗ по Алгебре 7 класс Алгоритм успеха
Все ГДЗ по Алгебре 7 класс Алгоритм успеха