ОТВЕТ на задание № 11 Учебник по Алгебре 7 класс Мерзляк Алгоритм успеха Базовый уровень
Решебник №1
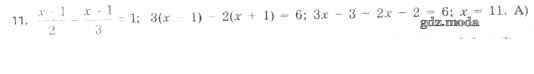
проверь себя / 3 / 11

Решебник №2
проверь себя / 3 / 11

Решебник №4
проверь себя / 3 / 11

Все ГДЗ по Алгебре 7 класс Алгоритм успеха
Все ГДЗ по Алгебре 7 класс Алгоритм успеха