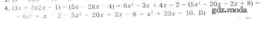
ОТВЕТ на задание № 4 Учебник по Алгебре 7 класс Мерзляк Алгоритм успеха Базовый уровень
Решебник №1
проверь себя / 3 / 4

Решебник №2
проверь себя / 3 / 4

Решебник №4
проверь себя / 3 / 4

Все ГДЗ по Алгебре 7 класс Алгоритм успеха
Все ГДЗ по Алгебре 7 класс Алгоритм успеха