ОТВЕТ на задание № 41 Задачник по Алгебре 7 класс Мордкович Базовый уровень

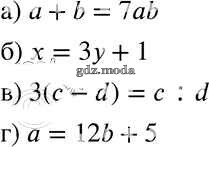
Условия

глава 1 / § 3 / 41

Решебник №1

глава 1 / § 3 / 41

Решебник №2

глава 1 / § 3 / 41

Решебник №3

глава 1 / § 3 / 41

Решебник №4

глава 1 / § 3 / 41

ГДЗ решение к заданию № 41 Алгебра 7 класс задачник (базовый уровень) Мордкович А.Г. Часть 2 Мнемозина 2013 Часть 2 Базовый уровень ФГОС бесплатно на гдз.мода!