ОТВЕТ на задание № 2 Задачник по Алгебре 7 класс Мордкович Базовый уровень

Условия

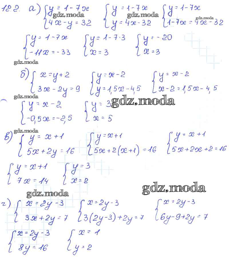
глава 3 / § 12 / 2

Решебник №1

глава 3 / § 12 / 2

Решебник №2

глава 3 / § 12 / 2

Решебник №3

глава 3 / § 12 / 2

Решебник №4

глава 3 / § 12 / 2

ГДЗ решение к заданию № 2 Алгебра 7 класс задачник (базовый уровень) Мордкович А.Г. Часть 2 Мнемозина 2013 Часть 2 Базовый уровень ФГОС бесплатно на гдз.мода!