ОТВЕТ на задание № 25 Задачник по Алгебре 7 класс Мордкович Базовый уровень

Условия

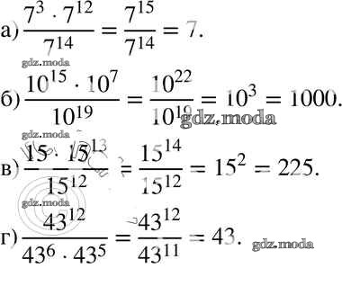
глава 4 / § 17 / 25

Решебник №1

глава 4 / § 17 / 25

Решебник №2

глава 4 / § 17 / 25

Решебник №3

глава 4 / § 17 / 25

Решебник №4

глава 4 / § 17 / 25

ГДЗ решение к заданию № 25 Алгебра 7 класс задачник (базовый уровень) Мордкович А.Г. Часть 2 Мнемозина 2013 Часть 2 Базовый уровень ФГОС бесплатно на гдз.мода!