ОТВЕТ на задание № 10 Задачник по Алгебре 7 класс Мордкович Базовый уровень

Условия

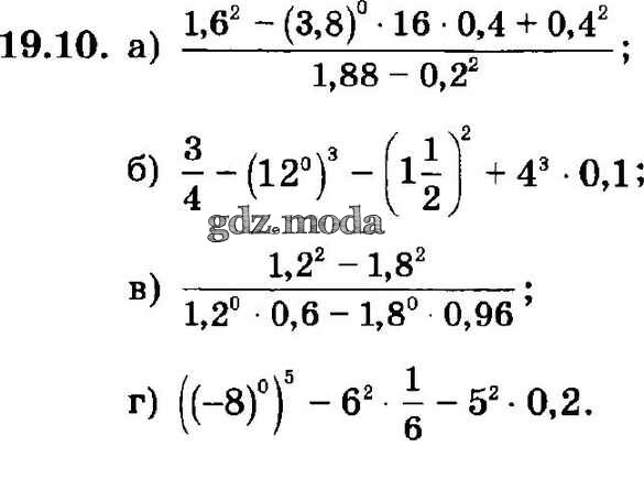
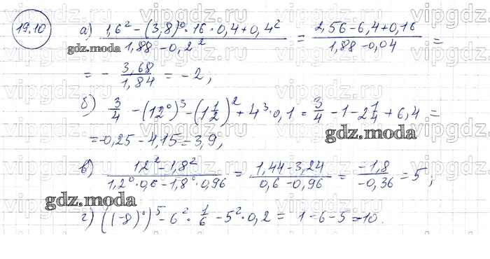
глава 4 / § 19 / 10

Решебник №1

глава 4 / § 19 / 10

Решебник №2

глава 4 / § 19 / 10

Решебник №3

глава 4 / § 19 / 10

Решебник №4

глава 4 / § 19 / 10

ГДЗ решение к заданию № 10 Алгебра 7 класс задачник (базовый уровень) Мордкович А.Г. Часть 2 Мнемозина 2013 Часть 2 Базовый уровень ФГОС бесплатно на гдз.мода!