ОТВЕТ на задание № 5 Задачник по Алгебре 7 класс Мордкович Базовый уровень

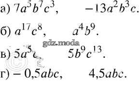
Условия

глава 5 / § 20 / 5

Решебник №1

глава 5 / § 20 / 5

Решебник №2

глава 5 / § 20 / 5

Решебник №3

глава 5 / § 20 / 5

Решебник №4

глава 5 / § 20 / 5

ГДЗ решение к заданию № 5 Алгебра 7 класс задачник (базовый уровень) Мордкович А.Г. Часть 2 Мнемозина 2013 Часть 2 Базовый уровень ФГОС бесплатно на гдз.мода!