ОТВЕТ на задание № 31 Задачник по Алгебре 7 класс Мордкович Базовый уровень

Условия

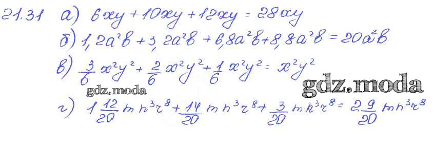
глава 5 / § 21 / 31

Решебник №1

глава 5 / § 21 / 31

Решебник №2

глава 5 / § 21 / 31

Решебник №3

глава 5 / § 21 / 31

Решебник №4

глава 5 / § 21 / 31

ГДЗ решение к заданию № 31 Алгебра 7 класс задачник (базовый уровень) Мордкович А.Г. Часть 2 Мнемозина 2013 Часть 2 Базовый уровень ФГОС бесплатно на гдз.мода!