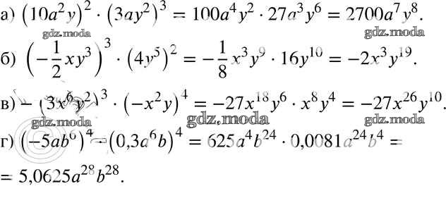
ОТВЕТ на задание № 29 Задачник по Алгебре 7 класс Мордкович Базовый уровень

Условия

глава 5 / § 22 / 29

Решебник №1

глава 5 / § 22 / 29

Решебник №2

глава 5 / § 22 / 29

Решебник №3

глава 5 / § 22 / 29

Решебник №4

глава 5 / § 22 / 29

ГДЗ решение к заданию № 29 Алгебра 7 класс задачник (базовый уровень) Мордкович А.Г. Часть 2 Мнемозина 2013 Часть 2 Базовый уровень ФГОС бесплатно на гдз.мода!