ОТВЕТ на задание № 34 Задачник по Алгебре 7 класс Мордкович Базовый уровень

Условия

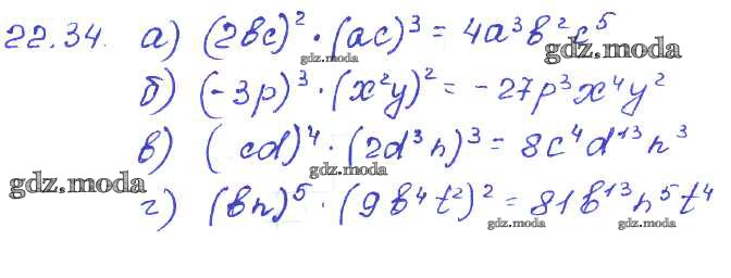
глава 5 / § 22 / 34

Решебник №1

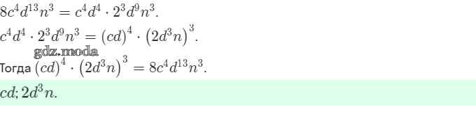
глава 5 / § 22 / 34

Решебник №2

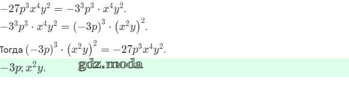
глава 5 / § 22 / 34

Решебник №3

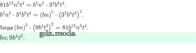
глава 5 / § 22 / 34

Решебник №4

глава 5 / § 22 / 34

ГДЗ решение к заданию № 34 Алгебра 7 класс задачник (базовый уровень) Мордкович А.Г. Часть 2 Мнемозина 2013 Часть 2 Базовый уровень ФГОС бесплатно на гдз.мода!