ОТВЕТ на задание № 8 Задачник по Алгебре 7 класс Мордкович Базовый уровень

Условия

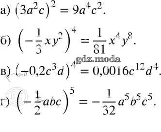
глава 5 / § 22 / 8

Решебник №1

глава 5 / § 22 / 8

Решебник №2

глава 5 / § 22 / 8

Решебник №3

глава 5 / § 22 / 8

Решебник №4

глава 5 / § 22 / 8

ГДЗ решение к заданию № 8 Алгебра 7 класс задачник (базовый уровень) Мордкович А.Г. Часть 2 Мнемозина 2013 Часть 2 Базовый уровень ФГОС бесплатно на гдз.мода!