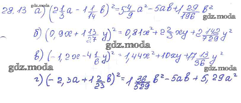
ОТВЕТ на задание № 13 Задачник по Алгебре 7 класс Мордкович Базовый уровень

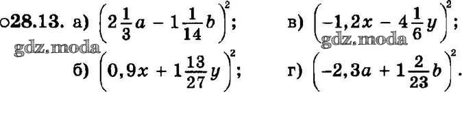
Условия

глава 6 / § 28 / 13

Решебник №1

глава 6 / § 28 / 13

Решебник №2

глава 6 / § 28 / 13

Решебник №3

глава 6 / § 28 / 13

Решебник №4

глава 6 / § 28 / 13

ГДЗ решение к заданию № 13 Алгебра 7 класс задачник (базовый уровень) Мордкович А.Г. Часть 2 Мнемозина 2013 Часть 2 Базовый уровень ФГОС бесплатно на гдз.мода!