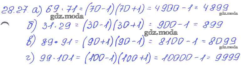
ОТВЕТ на задание № 27 Задачник по Алгебре 7 класс Мордкович Базовый уровень

Условия

глава 6 / § 28 / 27

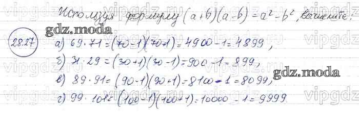
Решебник №1

глава 6 / § 28 / 27

Решебник №2

глава 6 / § 28 / 27

Решебник №3

глава 6 / § 28 / 27

Решебник №4

глава 6 / § 28 / 27

ГДЗ решение к заданию № 27 Алгебра 7 класс задачник (базовый уровень) Мордкович А.Г. Часть 2 Мнемозина 2013 Часть 2 Базовый уровень ФГОС бесплатно на гдз.мода!