ОТВЕТ на задание № 15 Задачник по Алгебре 7 класс Мордкович Базовый уровень

Условия

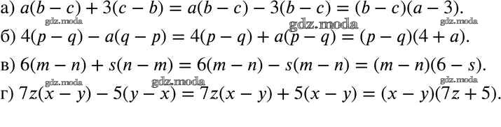
глава 7 / § 31 / 15

Решебник №1

глава 7 / § 31 / 15

Решебник №2

глава 7 / § 31 / 15

Решебник №3

глава 7 / § 31 / 15

Решебник №4

глава 7 / § 31 / 15

ГДЗ решение к заданию № 15 Алгебра 7 класс задачник (базовый уровень) Мордкович А.Г. Часть 2 Мнемозина 2013 Часть 2 Базовый уровень ФГОС бесплатно на гдз.мода!