ОТВЕТ на задание № 45 Задачник по Алгебре 7 класс Мордкович Базовый уровень

Условия

глава 7 / § 33 / 45

Решебник №1

глава 7 / § 33 / 45

Решебник №2

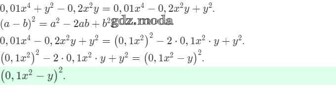
глава 7 / § 33 / 45

Решебник №3

глава 7 / § 33 / 45

Решебник №4

глава 7 / § 33 / 45

ГДЗ решение к заданию № 45 Алгебра 7 класс задачник (базовый уровень) Мордкович А.Г. Часть 2 Мнемозина 2013 Часть 2 Базовый уровень ФГОС бесплатно на гдз.мода!