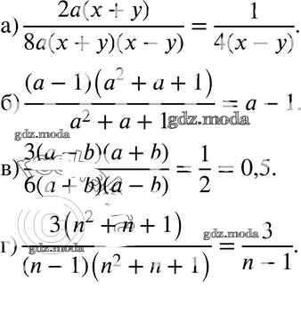
ОТВЕТ на задание № 7 Задачник по Алгебре 7 класс Мордкович Базовый уровень

Условия

глава 7 / § 35 / 7

Решебник №1

глава 7 / § 35 / 7

Решебник №2

глава 7 / § 35 / 7

Решебник №3

глава 7 / § 35 / 7

Решебник №4

глава 7 / § 35 / 7

ГДЗ решение к заданию № 7 Алгебра 7 класс задачник (базовый уровень) Мордкович А.Г. Часть 2 Мнемозина 2013 Часть 2 Базовый уровень ФГОС бесплатно на гдз.мода!