ОТВЕТ на задание № 16 Задачник по Алгебре 7 класс Мордкович Базовый уровень

Условия

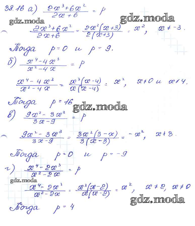
глава 8 / § 38 / 16

Решебник №1

глава 8 / § 38 / 16

Решебник №2

глава 8 / § 38 / 16

Решебник №3

глава 8 / § 38 / 16

Решебник №4

глава 8 / § 38 / 16

ГДЗ решение к заданию № 16 Алгебра 7 класс задачник (базовый уровень) Мордкович А.Г. Часть 2 Мнемозина 2013 Часть 2 Базовый уровень ФГОС бесплатно на гдз.мода!