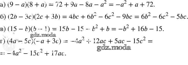
ОТВЕТ на задание № 136 Задачник по Алгебре 7 класс Мордкович Базовый уровень

Условия

глава 9. итоговое повторение / 136

Решебник №1

глава 9. итоговое повторение / 136

Решебник №2

глава 9. итоговое повторение / 136

Решебник №3

глава 9. итоговое повторение / 136

Решебник №4

глава 9. итоговое повторение / 136

ГДЗ решение к заданию № 136 Алгебра 7 класс задачник (базовый уровень) Мордкович А.Г. Часть 2 Мнемозина 2013 Часть 2 Базовый уровень ФГОС бесплатно на гдз.мода!