ОТВЕТ на задание № 224 Учебник по Алгебре 7 класс Никольский МГУ - школе

Решебник №1

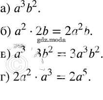
упражнение / 224

Решебник №2

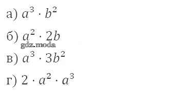
упражнение / 224

Решебник №3

упражнение / 224

Решебник №4

упражнение / 224

Все ГДЗ по Алгебре 7 класс МГУ - школе

ГДЗ решение к заданию № 224 Алгебра 7 класс Никольский С.М. Просвещение 2013 ФГОС бесплатно на гдз.мода!