Классы
1 класс
2 класс
3 класс
4 класс
5 класс
6 класс
7 класс
8 класс
9 класс
10 класс
11 класс
Предметы
Алгебра
Английский язык
Белорусский язык
Биология
География
Геометрия
Естествознание
Информатика
Искусство
История
Кубановедение
Литература
Математика
Музыка
Немецкий язык
ОБЖ
Обществознание
Окружающий мир
Основы здоровья
Природоведение
Русский язык
Технология
Украинский язык
Физика
Французский язык
Химия
Человек и мир
Я исследую мир
ГДЗ
7 класс
Алгебра
Никольский
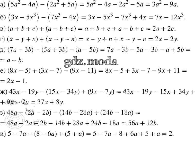
268
ОТВЕТ на задание № 268 Учебник по Алгебре 7 класс Никольский МГУ - школе
Показать содержание
← Предыдущее
Следующее →
Решебник №1
упражнение / 268
Решебник №2
упражнение / 268
Решебник №3
упражнение / 268
Показать содержание
← Предыдущее
Следующее →
Все ГДЗ по
Алгебре 7 класс МГУ - школе
ГДЗ решение к заданию № 268 Алгебра 7 класс Никольский С.М. Просвещение 2013 ФГОС бесплатно на гдз.мода!