ОТВЕТ на задание № 422 Учебник по Алгебре 7 класс Никольский МГУ - школе

Решебник №1

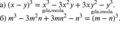
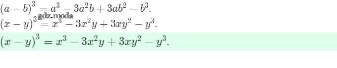
упражнение / 422

Решебник №2

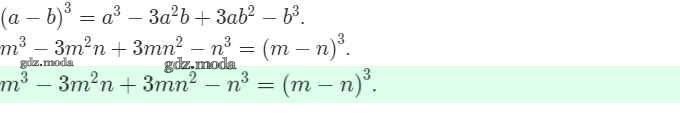
упражнение / 422

Решебник №3

упражнение / 422

Решебник №4

упражнение / 422

Все ГДЗ по Алгебре 7 класс МГУ - школе

ГДЗ решение к заданию № 422 Алгебра 7 класс Никольский С.М. Просвещение 2013 ФГОС бесплатно на гдз.мода!