ОТВЕТ на задание № 592 Учебник по Алгебре 7 класс Никольский МГУ - школе

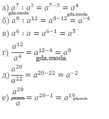
Решебник №1

упражнение / 592

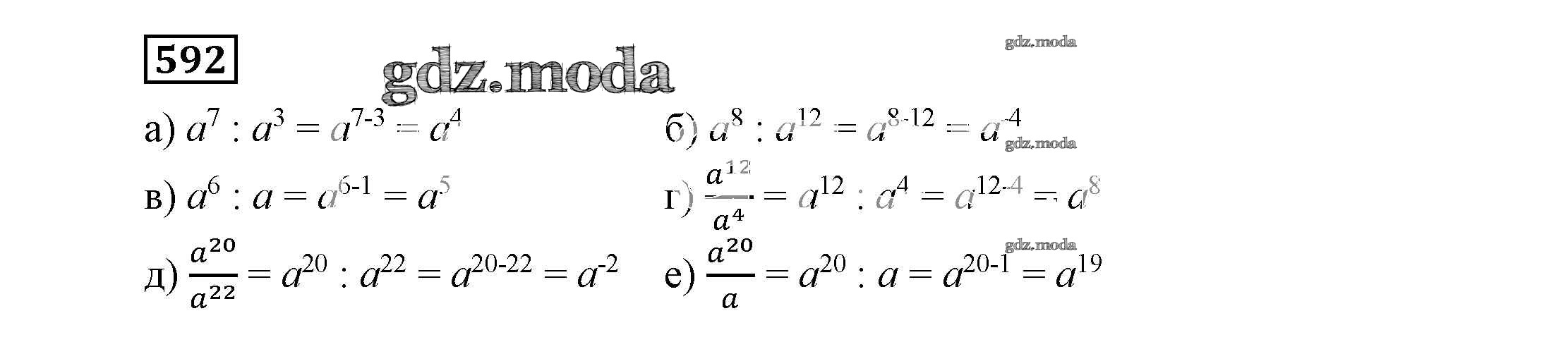
Решебник №2

упражнение / 592

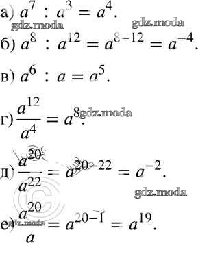
Решебник №3

упражнение / 592

Решебник №4

упражнение / 592

Все ГДЗ по Алгебре 7 класс МГУ - школе

ГДЗ решение к заданию № 592 Алгебра 7 класс Никольский С.М. Просвещение 2013 ФГОС бесплатно на гдз.мода!