ОТВЕТ на задание № 896 Учебник по Алгебре 7 класс Никольский МГУ - школе

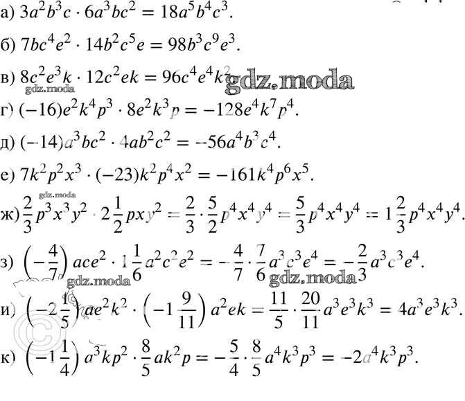
Решебник №1

упражнение / 896

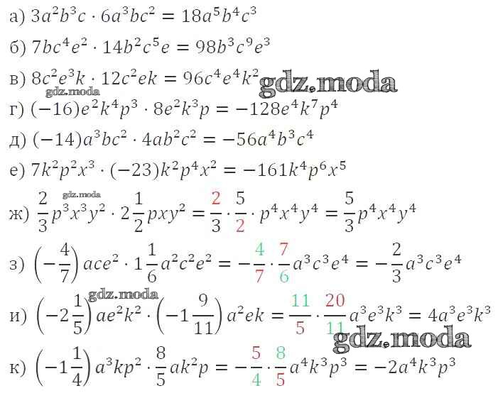
Решебник №2

упражнение / 896

Решебник №3

упражнение / 896

Решебник №4

упражнение / 896

Все ГДЗ по Алгебре 7 класс МГУ - школе

ГДЗ решение к заданию № 896 Алгебра 7 класс Никольский С.М. Просвещение 2013 ФГОС бесплатно на гдз.мода!