ОТВЕТ на задание № 908 Учебник по Алгебре 7 класс Никольский МГУ - школе

Решебник №1

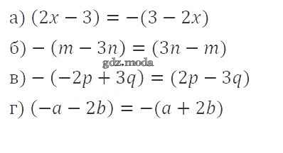
упражнение / 908

Решебник №2

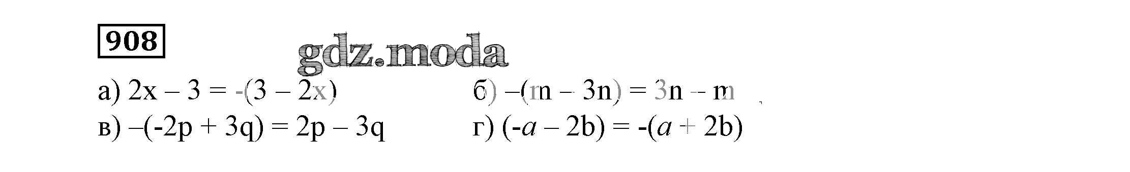
упражнение / 908

Решебник №3

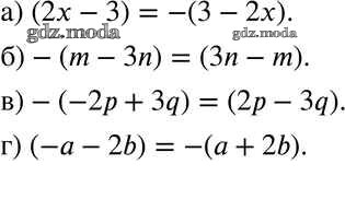
упражнение / 908

Решебник №4

упражнение / 908

Все ГДЗ по Алгебре 7 класс МГУ - школе

ГДЗ решение к заданию № 908 Алгебра 7 класс Никольский С.М. Просвещение 2013 ФГОС бесплатно на гдз.мода!