ОТВЕТ на задание № 944 Учебник по Алгебре 7 класс Никольский МГУ - школе

Решебник №1

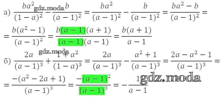
упражнение / 944

Решебник №2

упражнение / 944

Решебник №3

упражнение / 944

Решебник №4

упражнение / 944

Все ГДЗ по Алгебре 7 класс МГУ - школе

ГДЗ решение к заданию № 944 Алгебра 7 класс Никольский С.М. Просвещение 2013 ФГОС бесплатно на гдз.мода!