ОТВЕТ на задание № 8 Учебник по Алгебре 7 класс Никольский МГУ - школе

Решебник №1

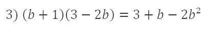
задание для самоконтроля / 8

Решебник №2

задание для самоконтроля / 8

Решебник №4

задание для самоконтроля / 8

Все ГДЗ по Алгебре 7 класс МГУ - школе

ГДЗ решение к заданию № 8 Алгебра 7 класс Никольский С.М. Просвещение 2013 ФГОС бесплатно на гдз.мода!