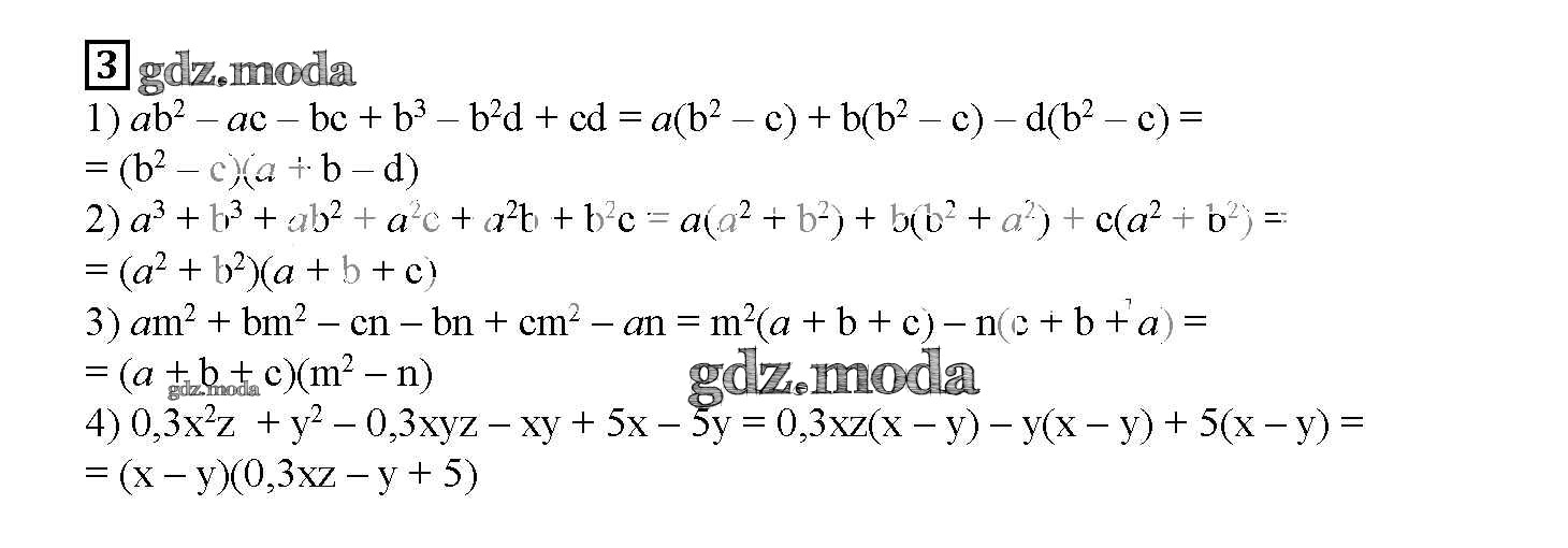
ОТВЕТ на задание № 3 Рабочая тетрадь по Алгебре 7 класс Мерзляк Алгоритм успеха

ГДЗ решение к заданию № 3 Алгебра 7 класс рабочая тетрадь Мерзляк А.Г. Вентана-граф 2018 Часть 1, Часть 2 ФГОС бесплатно на гдз.мода!