ОТВЕТ на задание № 6 Рабочая тетрадь по Алгебре 7 класс Мерзляк Алгоритм успеха
Решебник №1
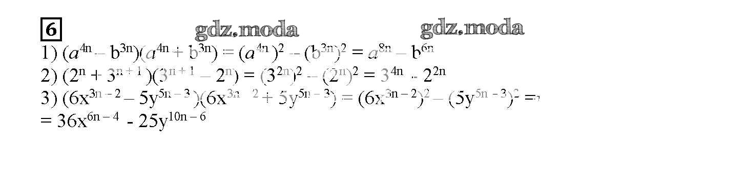
часть 1 / §14 / 6
Решебник №2
часть 1 / §14 / 6
Решебник №3
часть 1 / §14 / 6
Все ГДЗ по Алгебре 7 класс Алгоритм успеха