ОТВЕТ на задание № 3 Рабочая тетрадь по Алгебре 7 класс Мерзляк Алгоритм успеха
Решебник №1
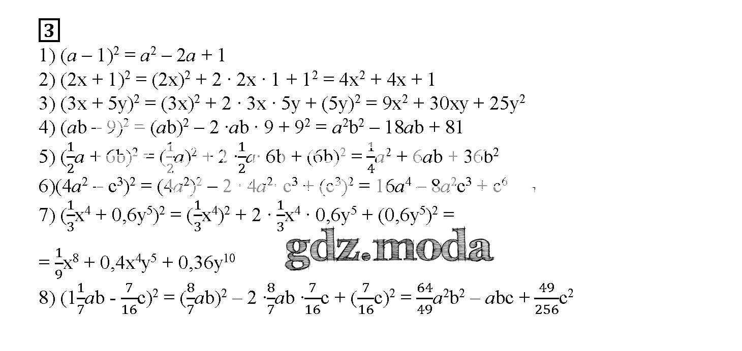
часть 1 / §16 / 3
Решебник №2
часть 1 / §16 / 3
Решебник №3
часть 1 / §16 / 3
Все ГДЗ по Алгебре 7 класс Алгоритм успеха