ОТВЕТ на задание № 10 Рабочая тетрадь по Алгебре 7 класс Мерзляк Алгоритм успеха
Решебник №1
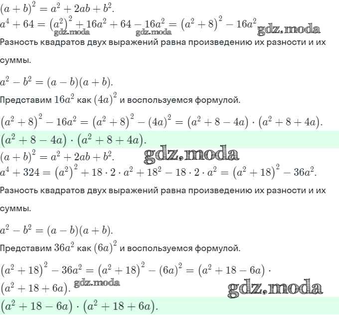
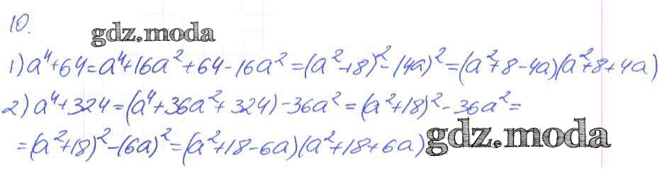
часть 1 / §19 / 10
Решебник №2
часть 1 / §19 / 10
Решебник №3
часть 1 / §19 / 10
Все ГДЗ по Алгебре 7 класс Алгоритм успеха