ОТВЕТ на задание № 8 Рабочая тетрадь по Алгебре 7 класс Мерзляк Алгоритм успеха
Решебник №1
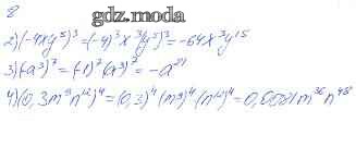
часть 1 / §6 / 8
Решебник №2
часть 1 / §6 / 8
Решебник №3
часть 1 / §6 / 8
Все ГДЗ по Алгебре 7 класс Алгоритм успеха