ОТВЕТ на задание № 5 Рабочая тетрадь по Алгебре 7 класс Мерзляк Алгоритм успеха
Решебник №1
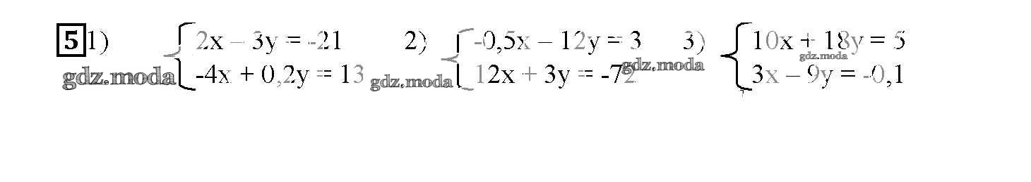
часть 2 / §26 / 5
Решебник №2
часть 2 / §26 / 5
Решебник №3
часть 2 / §26 / 5
Все ГДЗ по Алгебре 7 класс Алгоритм успеха