Классы
1 класс
2 класс
3 класс
4 класс
5 класс
6 класс
7 класс
8 класс
9 класс
10 класс
11 класс
Предметы
Алгебра
Английский язык
Белорусский язык
Биология
География
Геометрия
Естествознание
Информатика
Искусство
История
Кубановедение
Литература
Математика
Музыка
Немецкий язык
ОБЖ
Обществознание
Окружающий мир
Основы здоровья
Природоведение
Русский язык
Технология
Украинский язык
Физика
Французский язык
Химия
Человек и мир
Я исследую мир
ГДЗ
7 класс
Алгебра
рабочая тетрадь Минаева
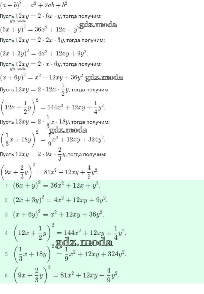
205
ОТВЕТ на задание № 205 Рабочая тетрадь по Алгебре 7 класс Минаева
Показать содержание
← Предыдущее
Следующее →
Решебник №1
упражнение / 205
Решебник №2
упражнение / 205
Показать содержание
← Предыдущее
Следующее →
ГДЗ решение к заданию № 205 Алгебра 7 класс рабочая тетрадь Минаева С.С. Просвещение 2018 ФГОС бесплатно на гдз.мода!