Классы
1 класс
2 класс
3 класс
4 класс
5 класс
6 класс
7 класс
8 класс
9 класс
10 класс
11 класс
Предметы
Алгебра
Английский язык
Белорусский язык
Биология
География
Геометрия
Естествознание
Информатика
Искусство
История
Кубановедение
Литература
Математика
Музыка
Немецкий язык
ОБЖ
Обществознание
Окружающий мир
Основы здоровья
Природоведение
Русский язык
Технология
Украинский язык
Физика
Французский язык
Химия
Человек и мир
Я исследую мир
ГДЗ
7 класс
Алгебра
рабочая тетрадь Потапов
200
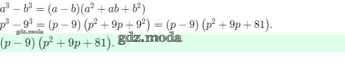
ОТВЕТ на задание № 200 Рабочая тетрадь по Алгебре 7 класс Потапов МГУ - школе
Показать содержание
← Предыдущее
Следующее →
Решебник №1
задача / 200
Решебник №2
задача / 200
Показать содержание
← Предыдущее
Следующее →
Все ГДЗ по
Алгебре 7 класс МГУ - школе
ГДЗ решение к заданию № 200 Алгебра 7 класс рабочая тетрадь Потапов М.К. Просвещение 2018 Часть 1, Часть 2 ФГОС бесплатно на гдз.мода!