Классы
1 класс
2 класс
3 класс
4 класс
5 класс
6 класс
7 класс
8 класс
9 класс
10 класс
11 класс
Предметы
Алгебра
Английский язык
Белорусский язык
Биология
География
Геометрия
Естествознание
Информатика
Искусство
История
Кубановедение
Литература
Математика
Музыка
Немецкий язык
ОБЖ
Обществознание
Окружающий мир
Основы здоровья
Природоведение
Русский язык
Технология
Украинский язык
Физика
Французский язык
Химия
Человек и мир
Я исследую мир
ГДЗ
7 класс
Алгебра
самостоятельные работы Александрова
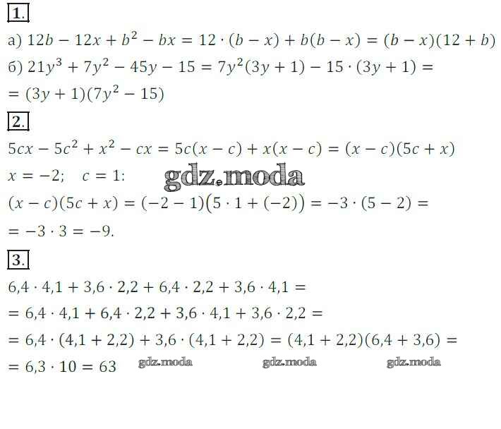
1
ОТВЕТ на задание № 1 Самостоятельные работы по Алгебре 7 класс Александрова УМК
Показать содержание
← Предыдущее
Следующее →
Решебник 1
ср-35. вариант / 1
Решебник 2
ср-35. вариант / 1
Показать содержание
← Предыдущее
Следующее →
Все ГДЗ по
Алгебре 7 класс УМК
ГДЗ решение к заданию № 1 Алгебра 7 класс самостоятельные работы Александрова Л.А. Мнемозина 2016 ФГОС бесплатно на гдз.мода!