Классы
1 класс
2 класс
3 класс
4 класс
5 класс
6 класс
7 класс
8 класс
9 класс
10 класс
11 класс
Предметы
Алгебра
Английский язык
Белорусский язык
Биология
География
Геометрия
Естествознание
Информатика
Искусство
История
Кубановедение
Литература
Математика
Музыка
Немецкий язык
ОБЖ
Обществознание
Окружающий мир
Основы здоровья
Природоведение
Русский язык
Технология
Украинский язык
Физика
Французский язык
Химия
Человек и мир
Я исследую мир
ГДЗ
7 класс
Алгебра
Алимов
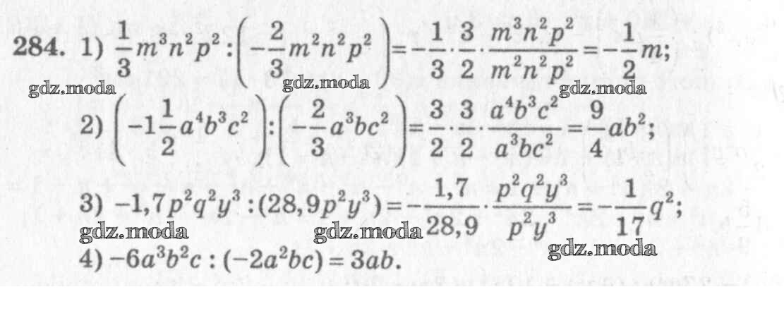
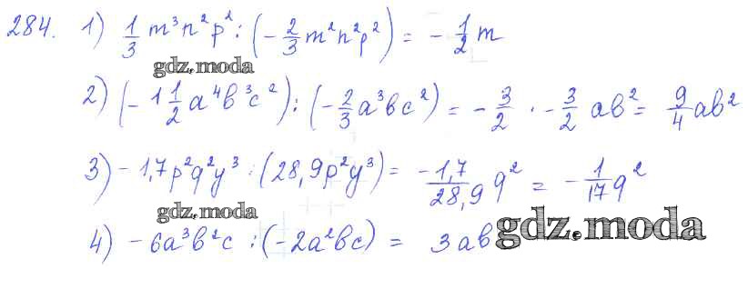
284
ОТВЕТ на задание № 284 Учебник по Алгебре 7 класс Алимов
Показать содержание
← Предыдущее
Следующее →
Решебник
глава 3 / §18 / 284
Решебник к старому учебнику
глава 3 / §18 / 284
Показать содержание
← Предыдущее
Следующее →
ГДЗ решение к заданию № 284 Алгебра 7 класс Алимов Ш.А. Просвещение 2014 ФГОС бесплатно на гдз.мода!