Классы
1 класс
2 класс
3 класс
4 класс
5 класс
6 класс
7 класс
8 класс
9 класс
10 класс
11 класс
Предметы
Алгебра
Английский язык
Белорусский язык
Биология
География
Геометрия
Естествознание
Информатика
Искусство
История
Кубановедение
Литература
Математика
Музыка
Немецкий язык
ОБЖ
Обществознание
Окружающий мир
Основы здоровья
Природоведение
Русский язык
Технология
Украинский язык
Физика
Французский язык
Химия
Человек и мир
Я исследую мир
ГДЗ
7 класс
Алгебра
Макарычев
1010
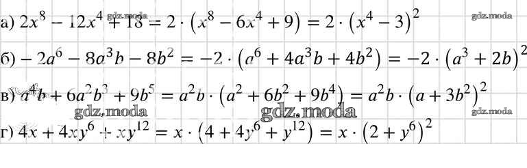
ОТВЕТ на задание № 1010 Учебник по Алгебре 7 класс Макарычев
Показать содержание
← Предыдущее
Следующее →
Решебник №1
упражнение / 1010
Решебник №2
упражнение / 1010
Решебник №3
упражнение / 1010
Решебник №4
упражнение / 1010
Решебник №6
упражнение / 1010
Показать содержание
← Предыдущее
Следующее →
ГДЗ решение к заданию № 1010 Алгебра 7 класс Макарычев Ю.Н. Просвещение 2015 ФГОС бесплатно на гдз.мода!