Классы
1 класс
2 класс
3 класс
4 класс
5 класс
6 класс
7 класс
8 класс
9 класс
10 класс
11 класс
Предметы
Алгебра
Английский язык
Белорусский язык
Биология
География
Геометрия
Естествознание
Информатика
Искусство
История
Кубановедение
Литература
Математика
Музыка
Немецкий язык
ОБЖ
Обществознание
Окружающий мир
Основы здоровья
Природоведение
Русский язык
Технология
Украинский язык
Физика
Французский язык
Химия
Человек и мир
Я исследую мир
ГДЗ
7 класс
Алгебра
Макарычев
484
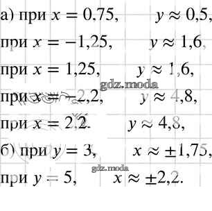
ОТВЕТ на задание № 484 Учебник по Алгебре 7 класс Макарычев
Показать содержание
← Предыдущее
Следующее →
Решебник №1
упражнение / 484
Решебник №2
упражнение / 484
Решебник №3
упражнение / 484
Решебник №4
упражнение / 484
Решебник №5
упражнение / 484
Решебник №6
упражнение / 484
Показать содержание
← Предыдущее
Следующее →
ГДЗ решение к заданию № 484 Алгебра 7 класс Макарычев Ю.Н. Просвещение 2015 ФГОС бесплатно на гдз.мода!