ОТВЕТ на задание № вариант 2 Дидактические материалы по Алгебре 7 класс Евстафьева
Решебник 2
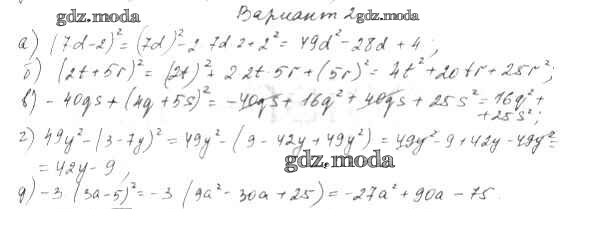
проверочная работа / пр-55 / вариант 2
ГДЗ решение к заданию № вариант 2 Алгебра 7 класс дидактические материалы Евстафьева Л.П. Просвещение 2018 ФГОС бесплатно на гдз.мода!