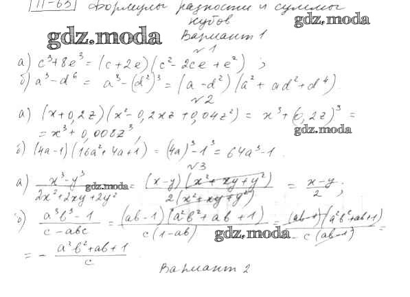
ОТВЕТ на задание № вариант 1 Дидактические материалы по Алгебре 7 класс Евстафьева
Решебник 2
проверочная работа / пр-63 / вариант 1
ГДЗ решение к заданию № вариант 1 Алгебра 7 класс дидактические материалы Евстафьева Л.П. Просвещение 2018 ФГОС бесплатно на гдз.мода!