Классы
1 класс
2 класс
3 класс
4 класс
5 класс
6 класс
7 класс
8 класс
9 класс
10 класс
11 класс
Предметы
Алгебра
Английский язык
Белорусский язык
Биология
География
Геометрия
Естествознание
Информатика
Искусство
История
Кубановедение
Литература
Математика
Музыка
Немецкий язык
ОБЖ
Обществознание
Окружающий мир
Основы здоровья
Природоведение
Русский язык
Технология
Украинский язык
Физика
Французский язык
Химия
Человек и мир
Я исследую мир
ГДЗ
7 класс
Алгебра
дидактические материалы Звавич
k-4a
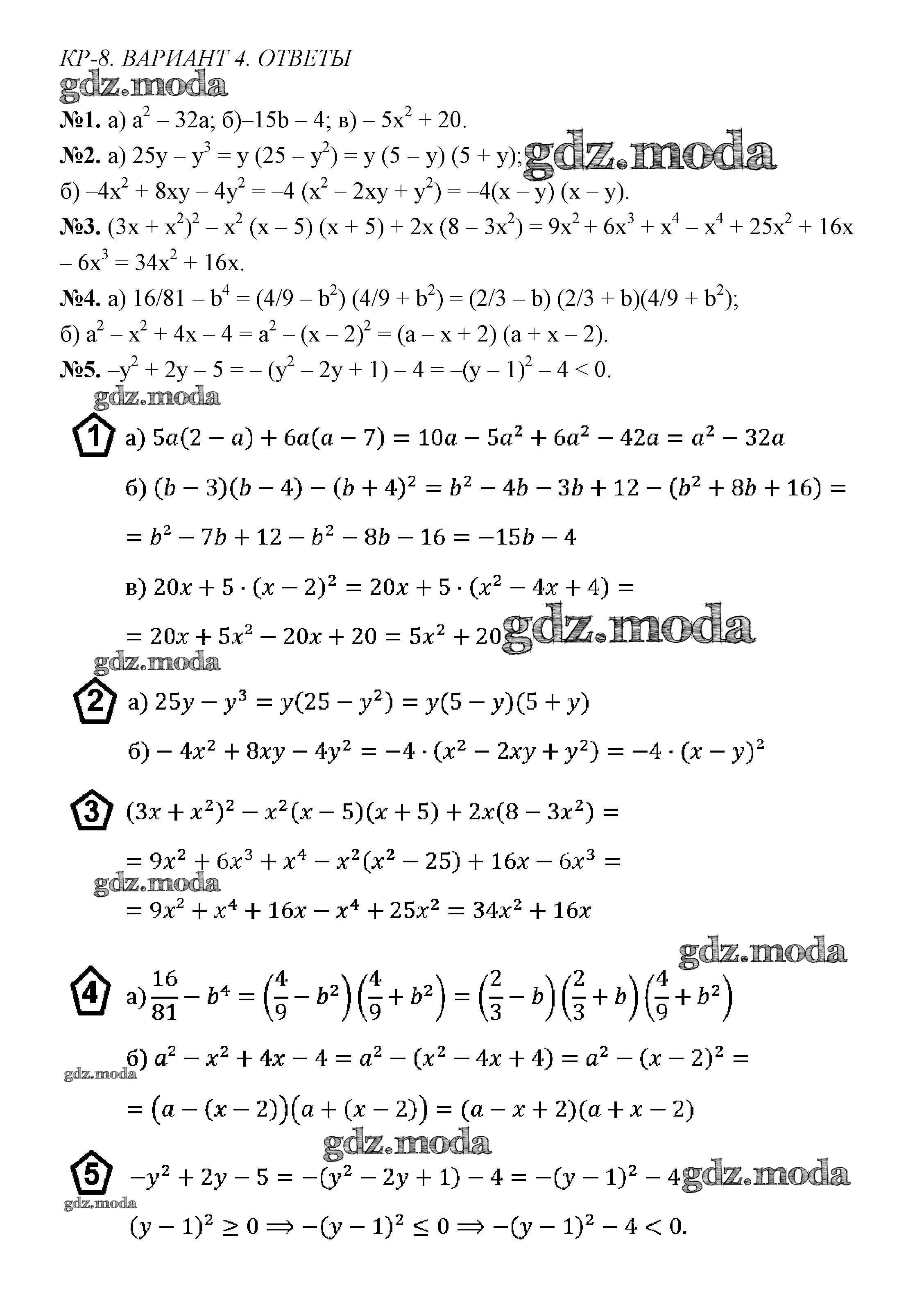
ОТВЕТ на задание № k-4a Дидактические материалы по Алгебре 7 класс Звавич
Показать содержание
← Предыдущее
Следующее →
Решебник
контрольная работа / вариант 4 / k-4a
Решебник 2
контрольная работа / вариант 4 / k-4a
Показать содержание
← Предыдущее
Следующее →
ГДЗ решение к заданию № k-4a Алгебра 7 класс дидактические материалы Звавич Л.И. Просвещение 2012 ФГОС бесплатно на гдз.мода!