ОТВЕТ на задание № 6 Рабочая тетрадь по Физике 7 класс Ханнанова Вертикаль
Решебник 1
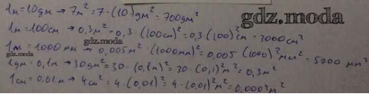
задание 4 / 6
Решебник 2
задание 4 / 6
Решебник 3
задание 4 / 6
Все ГДЗ по Физике 7 класс Вертикаль