ОТВЕТ на задание № Вариант №3 Дидактические материалы по Физике 7 класс Марон Вертикаль
Решебник 1
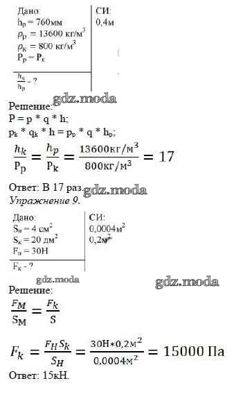
контрольная работа / кр №-2 / вариант №3

Решебник 2
контрольная работа / кр №-2 / вариант №3




Решебник 3
контрольная работа / кр №-2 / вариант №3

Все ГДЗ по Физике 7 класс Вертикаль