ОТВЕТ на задание № Вариант №9 Дидактические материалы по Физике 7 класс Марон Вертикаль
Решебник 1
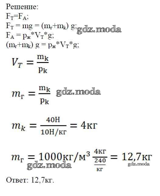
самостоятельная работа / ср №-8 / вариант №9

Решебник 2
самостоятельная работа / ср №-8 / вариант №9


Все ГДЗ по Физике 7 класс Вертикаль
Все ГДЗ по Физике 7 класс Вертикаль