Классы
1 класс
2 класс
3 класс
4 класс
5 класс
6 класс
7 класс
8 класс
9 класс
10 класс
11 класс
Предметы
Алгебра
Английский язык
Белорусский язык
Биология
География
Геометрия
Естествознание
Информатика
Искусство
История
Кубановедение
Литература
Математика
Музыка
Немецкий язык
ОБЖ
Обществознание
Окружающий мир
Основы здоровья
Природоведение
Русский язык
Технология
Украинский язык
Физика
Французский язык
Химия
Человек и мир
Я исследую мир
ГДЗ
7 класс
Геометрия
учебник Мерзляк
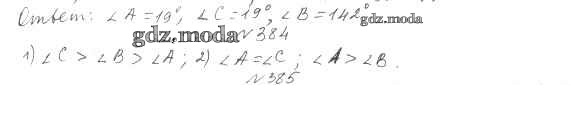
384
ОТВЕТ на задание № 384 Учебник по Геометрии 7 класс Мерзляк Алгоритм успеха
Показать содержание
← Предыдущее
Следующее →
Решебник
глава 3 / §16 / 384
Показать содержание
← Предыдущее
Следующее →
Все ГДЗ по
Геометрии 7 класс Алгоритм успеха
ГДЗ решение к заданию № 384 Геометрия 7 класс Мерзляк А.Г. Вентана-граф 2017 ФГОС бесплатно на гдз.мода!