Классы
1 класс
2 класс
3 класс
4 класс
5 класс
6 класс
7 класс
8 класс
9 класс
10 класс
11 класс
Предметы
Алгебра
Английский язык
Белорусский язык
Биология
География
Геометрия
Естествознание
Информатика
Искусство
История
Кубановедение
Литература
Математика
Музыка
Немецкий язык
ОБЖ
Обществознание
Окружающий мир
Основы здоровья
Природоведение
Русский язык
Технология
Украинский язык
Физика
Французский язык
Химия
Человек и мир
Я исследую мир
ГДЗ
8 класс
Алгебра
Арефьева
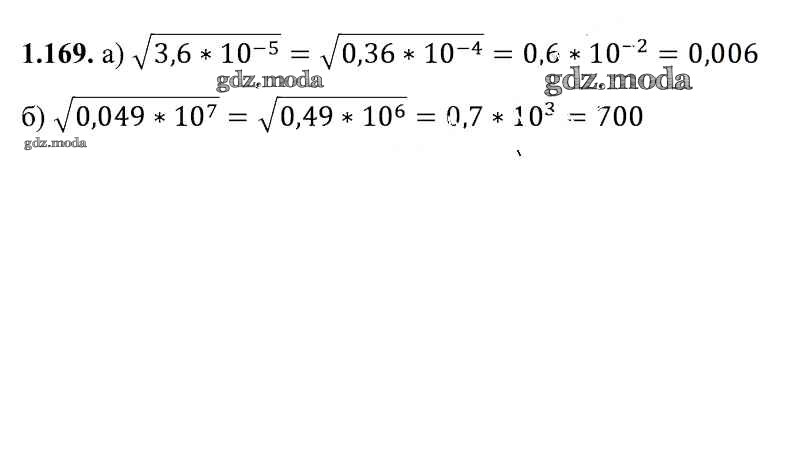
1.169
ОТВЕТ на задание № 1.169 Учебник по Алгебре 8 класс Арефьева
Показать содержание
← Предыдущее
Следующее →
Решебник №1
глава 1 / упражнение / 1.169
Решебник №2
глава 1 / упражнение / 1.169
Показать содержание
← Предыдущее
Следующее →
ГДЗ решение к заданию № 1.169 Алгебра 8 класс Арефьева И.Г. Народная асвета 2018 ФГОС бесплатно на гдз.мода!